Minutes
Unconfirmed
Ordinary Council Meeting
7.00pm, 28 May, 2013
Civic Centre,
Dundebar Road, Wanneroo
Objective
· To ensure that there is a process in place to outline access to the recorded proceedings of Council.
· To emphasise that the reason for recording of Council Meetings is to ensure the accuracy of Council Minutes and that any reproduction is for the sole purpose of Council business.
Statement
Recording of Proceedings
(1) Proceedings for meetings of the Council, Electors, and Public Question Time during Council Briefing Sessions shall be recorded by the City on sound recording equipment, except in the case of meetings of the Council where the Council closes the meeting to the public.
(2) Notwithstanding subclause (1), proceedings of a meeting of the Council which is closed to the public shall be recorded where the Council resolves to do so.
(3) No member of the public is to use any electronic, visual or vocal recording device or instrument to record the proceedings of the Council or a committee without the written permission of the Council.
Access to Recordings
(4) Members of the public may purchase a copy of recorded proceedings or alternatively listen to recorded proceedings with the supervision of a City Officer. Costs of providing recorded proceedings to members of the public will be the cost of the recording plus staff time to make the copy of the proceedings. The cost of supervised listening to recorded proceedings will be the cost of the staff time. The cost of staff time will be set in the City's schedule of fees and charges each year.
(5) Elected Members may request a recording of the Council proceedings at no charge. However, no transcript will be produced without the approval of the Chief Executive Officer. All Elected Members are to be notified when recordings are requested by individual Members.
Retention of Recordings
(6) Recordings pertaining to the proceedings of Council Meetings shall be retained in accordance with the State Records Act 2000.
Disclosure of Policy
(7) This policy shall be printed within the agenda of all Council, Special Council, Electors and Special Electors meetings to advise the public that the proceedings of the meeting are recorded.

Unconfirmed Minutes of Ordinary Council Meeting
held on Tuesday 28 May, 2013
CONTENTS
Item 2 Apologies and Leave of Absence
PQ01-05/13 Mrs S Winton, Gibbs Road, Nowergup
PQ02-05/13 Ms H Randall, Lindholm Retreat, Mindarie
PQ03-05/13 Mrs S Winton, Gibbs Road, Nowergup
PQ04-05/13 Ms K Barnao, Coogee Road, Mariginiup (on behalf of CREW)
PQ05-05/13 Ms K Barnao, Coogee Road, Mariginiup (on behalf of CREW)
PQ06-05/13 Ms H Randall, Lindholm Retreat, Mindarie
PQ07-05/13 Mrs S Winton, Gibbs Road, Nowergup
PQ08-05/13 Ms K Simon, Stockholm Road, Wanneroo
PQ09-05/13 Ms L Hughes, Rosslare Promenade, Mindarie
PQ10-05/13 Ms C Searle, Garrett Way, Clarkson
PQ11-05/13 Ms H Randall, Lindholm Retreat, Mindarie
Item 4 Confirmation of Minutes
OC01-05/13 Minutes of Ordinary Council Meeting held on 30 April 2013
OC02-05/13 Minutes of Special Council Meeting held on 14 May 2013
Item 5 Announcements by the Mayor without Discussion
Item 6 Questions from Elected Members
PT01-05/13 Request for Implementation of Local Beach Policy
PT02-04/13 Removal of London Plane street trees, Nankeen Circle, Tapping
PT03-04/13 Request Bus Shelter, Land Beach Boulevard, Butler
PT04-04/13 Request Closure of Laneway between The Avenue and Feathertop Rise, Alexander Heights
PT05-04/13 Request to Extend Northern Boundary of Yanchep Beach Dog Exercise Area by 250 Metres
PT06-04/13 Opposed to Modification of Charnwood Park, Two Rocks
PS01-05/13 Local Planning Policy 5.3: East Wanneroo
Town Planning Schemes & Structure Plans
PS02-05/13 Agreement of Amendment No. 3 to the Agreed Structure Plan No. 40
PS03-05/13 Adoption of Amendment No. 19 to the Butler-Ridgewood Agreed Structure Plan No. 27
PS04-05/13 Proposed Amendment No.114 to District Planning Scheme No.2: Alkimos City Centre Zoning
CB01-05/13 PT01-04/03 - Proposed Fenced Dog Exercise Area Sheffield Park, Wanneroo
CB02-05/13 Application to Establish an Offensive Trade - Lot 15 (275) Carabooda Road, Carabooda
CB03-05/13 Appointment of Delegate to the Mindarie Regional Council
IN01-05/13 PT02-03/13 - Request to Remove Verge Tree - 9 Towerhill Road, Alexander Heights
IN04-05/13 Review of Default State Speed Limit Roads Within the City of Wanneroo
IN05-05/13 Parking Prohibitions Extension - Fernhill Avenue, Carramar
IN07-05/13 Transport Noise Assessment - Lukin Drive, Merriwa
IN08-05/13 Parking Prohibitions - Orenco Bend - Clarkson Train Station Precinct
IN09-05/13 City of Wanneroo RoadWise Working Group - Road Safety Strategic Action Plan 2013/2014
CD01-05/13 Review of Facility Hire and Use Policy
CD02-05/13 Asbestos Removal at Mary Lindsay Homestead
CD03-05/13 Community Funding Policy Review 2012 3
Corporate Strategy & Performance
CS01-05/13 Warrant of Payments for the Period to 30 April 2013
CS02-05/13 Donations to be Considered by Council - May 2013
CS03-05/13 Delegated Authority Review
CS04-05/13 Yanchep Active Open Space - Deed of Agreement
Please refer to agenda for details of full reports and attachments.
TRACEY ROBERTS, JP Mayor
Councillors:
DOT NEWTON, JP Central Ward
DIANNE GUISE Central Ward
FRANK CVITAN Central Ward
BOB SMITHSON Coastal Ward
IAN GOODENOUGH, JP Coastal Ward
RUSSELL DRIVER Coastal Ward
NORMAN HEWER North Ward
LAURA GRAY, JP North Ward
ANH TRUONG South Ward
BRETT TREBY South Ward
STUART MACKENZIE South Ward
DENIS HAYDEN South Ward
Officers:
DANIEL SIMMS Chief Executive Officer
LEN KOSOVA Director, Planning and Sustainability
MICHAEL PENSON A/Director, City Businesses
ROB KORENHOF A/Director, Infrastructure
FIONA BENTLEY Director, Community Development
JOHN PATON Director, Corporate Strategy & Performance
MIKE BARRY Manager Executive Services
KAREN BROWNE City Lawyer
ROBERT FIGG Manager Communications and Events
YVETTE HEATH Minute Officer
Item 2 Apologies and Leave of Absence
RUDI STEFFENS Coastal Ward (LOA) 22 May to 10 June
Moved Cr Treby, Seconded Cr Hayden
That Council GRANT Cr Mackenzie a leave of absence for
the period from 28 July to
15 August 2013 inclusive.
CARRIED UNANIMOUSLY
There were 27 members of the public and two members of the press in attendance.
Mayor Roberts declared the meeting open at 7:00pm.
Public Questions Received in Writing Prior to the Council Meeting
Question 1 - Extractive Industry Inventory (PQ02-04/13)
a) At the Council Meeting of 30 April 2013 it was stated that a copy of the Extractive Industry Inventory would be provided to me. Why have I still not received one and when will I be given a copy of this inventory?
b) The Council Minutes of 5 February 2013 stated that “Notes that the City is currently undertaking to provide the Extractive Industry Inventory to the WAPC and if no privacy reasons this information is available to the public” That answer would seem to imply that the City had not finalised the inventory or sent it to the WAPC in February. The Council Minutes of 30 April 2013 states that “The Extractive Industry Inventory was provided to the WAPC in January 2013 and can be provided to interested persons on request.” Why is there a discrepancy?
c) Was the Administration response to the Electors Motion Number 8 incorrect and why?
d) Was the proposal by WA Limestone for a quarry and batching plant, on Nowergup Rd, Nowergup on the inventory? If yes, why?
e) If yes, has the City of Wanneroo written to the WAPC informing them that planning approval for this proposal has lapsed? If yes, when? If no, why not?
f) Was the Lime Industries proposal for a quarry and Mining Training operation on Nowergup Rd, Nowergup on the inventory? If yes, why?
Question 2 - Lime Industries' Proposal
a) Given the significant community interest in Lime Industries' proposal for a quarry and Mining Driver Training Operation as was demonstrated by over 200 submissions opposing the proposal, why did the City of Wanneroo not think it would be reasonable to inform objectors of this deemed refusal in time for objectors to attend the public directions hearing at SAT in April?
b) On what date did the City of Wanneroo request further information on this proposal from Lime Industries?
c) What further information did the City of Wanneroo request and why?
d) What was Lime Industries response to this request?
e) Lime Industries’ proposal includes seeking approval for a Miner Driver Training School. The applicant is seeking approval for this activity as an “Incidental Use”. Is this aspect part of the proceedings currently before SAT?
f) Is this aspect considered a proposed “incidental use” by the City of Wanneroo?
g) Is it true that if the City deems the Mining training school not to be an incidental use, than that determination is an issue of fact and degree and not involving the exercise of discretion, and therefore not subject to review at SAT?
h) Previous requests to release to the public Administration’s confidential report CR01-02/11 in relation to the WA Limestone proposal have been refused. The answer provided in the Minutes of 30th April state “It is open to WA Limestone to apply for a further planning approval and releasing the previous confidential reports could compromise Council’s position and decision on any new application." If WA Limestone makes an application for a “further” or “new” application, is the City in any way legally bound to make similar decisions as for any previous application?
i) If yes, could Administration please explain on what basis the City would be obliged to make such similar decisions?
j) If no, could the City explain how releasing the confidential report could compromise Council’s position and decision on any new application? How could publication of previous decisions on the WA Limestone matter compromise, or legally restrain the City on any future deliberations on any possible future application?
Question 3 – Ward Boundaries
a) Could Administration please provide current figures as to the population distribution for the various Wards and the % population increases for the next 5 years.
b) Has the City of Wanneroo considered any boundary/ward changes/increases /decreases in Councillor representation?
c) If yes, could Administration provide details? If not, why not?
Response by Director Planning and Sustainability
Question 1
a) This was an administrative oversight. Administration has since forwarded the Extractive Industry Inventory to Mrs. Winton.
b) The response included in the Council Minutes on 5 February 2013 was prepared in December 2012 in the weeks following Council's Annual General Meeting held on 4 December 2012. Once the response was prepared, it was published in the next scheduled Council Meeting, which occurred on 5 February 2013, after Administration finalised the Extractive Industry Inventory and forwarded it to the WAPC.
c) No, for the reasons explained in (b) above.
d) Yes, however only the Extractive Industry (or 'quarry') component of the proposal was noted on the Extractive Industry Inventory, as the WAPC did not request particulars of other activities relating to those properties. The Inventory captured all known extractive industry operations that were operating, approved or proposed in the City of Wanneroo at that time and to which the City's District Planning Scheme No. 2 and Extractive Industry Local Laws apply.
e) No. However, the Extractive Industry Inventory provided to the WAPC clearly noted that Planning Approval under DPS 2 for the quarry on that property was due to lapse on 8 February 2013.
f) The Lime Industries proposal was included in the Inventory provided to the WAPC as an application that was pending Council determination.
Question 2
a) The City's practice is to notify submitters in advance of when Council is due to consider the proposal they have commented on.
b) Further information was requested by Administration on 30 January 2013, after further assessment and a comprehensive review of the submissions received during public consultation.
c) Administration requested the following information from the applicant -
· A progressive series of site plans demonstrating the vertical depth and horizontal extent of the extractive activities at the end of years 2, 4, 6 and 8, or such other intervals agreed by the City.
· A detailed plan and accompanying information outlining how the site could be used following completion of all proposed extraction.
· Justification as to why the Noise Management Plan, prepared by Herring Storer Acoustics, did not nominate 'point receivers' in the location of both dwellings on the adjoining Lot 1 and Lot 57.
d) Refer to the responses to Questions 2 b) and c) above.
e) All components of this development application (as submitted and advertised) are currently before SAT for consideration (i.e. including the proposed driver training operations).
f) All aspects of the application are being assessed by Administration, and are subject to Mediation proceedings at SAT. The 'Earthmoving Equipment Training' use – including how it relates to the remaining components of the application –will be determined by Council in due course. In the meantime, Administration maintains that the manner in which the previous driver training operations were occurring on the site was independent of and unrelated to the substantive use of the property by the landowner and were therefore not capable of being approved.
g) If Council determines that the driver training component of the application is not incidental to the substantive proposal for extractive industry and therefore cannot be approved, then arguably there may be no right of appeal against that decision.
h) No.
i) Not applicable.
j) Any "further” or “new” application would need to be considered on its own merits, rather than on the basis of the previous approval relating to the property. However, if the application is identical to that previously approved by Council, then disclosing the confidential reports that led Council to approve the previous application, could unduly prejudice Council's decision on any new application and the strength of defending that decision if the applicant were to appeal to SAT. Administration therefore maintains that it would be inappropriate to publicly release the confidential reports relating to the previous WA Limestone application, until Council is satisfied there is no further prospect of an extractive industry being proposed or approved on that property.
At that same time, Council would also need to consider whether permission is required from the SAT and WA Limestone to release those reports, as they may contain details pertaining to comments made and information provided during confidential SAT mediation proceedings.
Response by Director Corporate Strategy and Performance
Question 3
a) The City's web site provides a complete population summary for the City of Wanneroo and can be accessed via the following link.
http://www.wanneroo.wa.gov.au/Council/City_of_Wanneroo_Statistics
In brief however, the following information provides the estimated population increases through to 2031:-
|
Wards |
2011 |
2016 |
% Increase |
|
Central |
40,139 |
46,521 |
15.9 |
|
South |
49.562 |
54,559 |
10.08 |
|
North |
19,688 |
35,054 |
78.05 |
|
Coastal |
50,923 |
62,874 |
23.47 |
b) The City of Wanneroo will be undertaking a Ward Boundary Review in 2014 as requested by the Local Government Advisory Board and the outcome of that review will determine whether there is a requirement to amend ward boundaries or elected member representation.
c) Refer answer to question b).
Question 1 – Clayton's Beach
a) Does the City of Wanneroo (CoW) acknowledge Clayton's Beach is their responsibility?
b) Did the CoW put in steps, a car park and showers at Clayton's Beach? If yes, do CoW believe it is suitable for general swimming? If no, why has the community not been notified it is not suitable?
c) Does the CoW acknowledge that Surf Life Saving WA (SLSWA) have rated Clayton's Beach as a 6 in terms of being dangerous? If yes, how long has CoW known about this rating and why has the general public not been informed of the dangers by either adequate signs at the beach or with media releases of this rating, from the time the City was informed?
d) If the locals are aware of the dangers at Clayton's Beach and its two permanent rips and undertow, does CoW not think that informing other unaware members of the public about the permanent rip dangers on this particular beach a safety issue?
e) Can CoW actually install Danger Signs or other warning signs at Clayton's Beach themselves with all the statistics available for this beach currently, if SLSWA or organisations like this did not exist?
f) Is putting up "Danger" or "No Swimming" signs at Clayton's Beach a liability/legal issue for CoW? If yes, how?
g) CoW engaged SLSWA to do an audit on its beaches and SLSWA have put out a survey. Has this survey cost ratepayers' money?
h) Does CoW believe that the survey conducted by SLSWA and themselves, determines risk factors to beaches based on people reporting incidences in this forum?
i) How has the community been notified of the survey in order to complete it?
j) Will CoW or SLSWA try to overturn the petition for Warning Signs going up at Clayton's Beach with this survey?
k) Is CoW willing to write to all community members who signed the petition in favour of danger signs at Claytons, so they too can have an input into the survey?
Response by Director Community Development
a) The Foreshore Reserve is Crown Land vested in the City of Wanneroo. In terms of the actual beach, the City has responsibility up to the high water mark, anything below that is the responsibility of the State Government Department of Transport.
b) Yes, the City of Wanneroo did put this infrastructure in place. Historically the City has held the view that the beach is suitable for swimming, providing the public takes into consideration the prevailing conditions at that location.
c) Advice provided to the City from SLSWA, as a result of this question, has confirmed that Claytons Beach has a rating of 5 out of 10, which is classified as being moderately hazardous.
d) Signage has been in place for some time indicating the risk posed by rips at this location.
e) Additional signage was put in place by the City in March 2013 identifying Dangerous Currents, Strong Currents and Submerged Objects. These signs have been put in place on an interim basis subject to the outcomes of the Coastal Risk and Safety Signage Audit.
The provision of signage should always be supported by a thorough risk analysis. Signage has been put in place previously by the City and it will continue to do so based on risk analysis and advice from recognised industry peak bodies, such as SLSWA.
f) Signage needs to reflect the risks present in the area and based upon a through risk analysis process. Prohibition signage needs to also take into consideration the City's capacity to effectively monitor and enforce the prohibition. This implementation of prohibition signage at Claytons Beach has been included in the scope of the audit.
g) The cost of the survey is included within the cost of the overall Coastal Risk and Safety Signage Audit.
h) It is important to remember that the survey is not being conducted in isolation and is simply a tool to capture the community's knowledge of the beach in their area. This local knowledge, along with the formal research and data analysis is an essential in the shaping of the audit recommendations. The survey design has been intentionally kept short and simple to encourage as many responses as possible.
It should be noted that respondents have the opportunity to provide additional feedback within the survey and are able to provide feedback separate to the survey to SLSWA.
It should also be noted that the audit methodology being undertaken is consistent with the International Standard ISO 3100 Risk Management. The reason why this is important is so that the audit process considers all the relevant data available and that the outcomes of the audit address all of the risks at Clayton's Beach and the main swimming beaches within the City of Wanneroo.
i) The City of Wanneroo has promoted the survey via its Web Site, the Wanneroo Link, its Facebook page and local media. SLSWA has promoted the survey via its web site, Facebook page, local media and local schools and businesses.
j) The petition will be considered as a part of the recommendations resulting from the audit process.
k) It would be more timely if the petitioners accessed the survey directly, which is available at the following address:
https://www.surveymonkey.com/s/WannerooCoastalSafety.
Question 1 – Lime Industries Proposal – Mediation Hearing at SAT
a) There was another Mediation hearing at SAT on Tuesday 21st May. Could you please provide details?
b) When is the next Directions hearing?
c) Does the City deem Lime Industries’ proposal complete and ready for Administration to make a decision? If not, why not.
d) Could you please provide an explanation as to what information is required?
e) Has the City of Wanneroo referred the proposal to the WAPC. If yes when?
f) If yes, could the City of Wanneroo please provide the details as to what information and/ or advice it gave to the WAPC?
g) Has the WAPC been in correspondence on this matter with the CoW?
h) Could you please provide dates and what the contents of this communication was?
i) Has the City of Wanneroo referred this proposal to the EPA and if so what has been the outcome?
j) Has the City of Wanneroo referred this proposal to the Department of Environment and Conservation and if so what has been the outcome?
k) Is this proposal a development application?
l) Has the existing rights for Lime Industries both quarry and training received any approvals from Council whatsoever?
m) If yes, what approvals and when were they ratified by Council?
n) Is Council aware of any approvals given for this quarry and training operation by any other agencies from which approval is required?
o) Given that the City has previously confirmed its position that no existing rights apply to this property or proposals, has the SAT been fully informed that there are no existing rights attached to either the quarry or the training proposal?
p) As the matter has now gone to SAT, which legal firm is representing the Council’s interests in this matter?
q) Has legal representatives attended the Directions Hearing and Mediation sessions?
r) Could you please provide the dates of each session and which ones were attended by the City’s legal representatives?
Response by Director Planning and Sustainability
a) Administration cannot provide any comment or disclose any details of discussions that occur during State Administrative Tribunal (SAT) Mediation sessions.
b) Administration is still awaiting this information from SAT. This information will be provided to Mrs. Winton when it is received.
c) Yes. Administration is now satisfied that it has sufficient information to complete its assessment of this proposal and refer the matter to Council for determination.
d) Not applicable.
e) Yes, on 23 May 2012.
f) On 23 May 2012, Administration forwarded a copy of the application (application form and submitted reports) to the WAPC for its consideration. At that time, Administration did not provide a recommendation to the WAPC, but rather sought the WAPC's comment on the proposal.
g) This question has previously been answered following the Ordinary Council Meeting of 13 November 2012. However, since that time the WAPC approved the development application under the Metropolitan Region Scheme (MRS) on 23 January 2013.
h) Communication was predominately made through telephone calls between the City's Officers and WAPC Officers relating generally to information on the proposal and the submissions received following during consultation. In August 2012 correspondence was received from the WAPC, advising that a decision on the matter had been deferred, pending resolution of issues associated with noise and dust emissions from the proposed development. On 7 January 2013 an email was received from an officer of the Department of Planning (DoP) seeking confirmation of the most current site plan. Neither the DoP nor WAPC ever provided the City with their comments on this proposal. In January 2013, correspondence was received from the WAPC advising of its approval of this proposal under the MRS.
i) On 23 May 2012, Administration forwarded a copy of the application (application form and submitted reports) to the Environmental Protection Authority (EPA) for its consideration. No comment was provided by the EPA in response to Administration's correspondence.
j) On 23 May 2012, Administration forwarded a copy of the application (application form and submitted reports) to the Department of Environment and Conservation (DEC) for its consideration. The DEC did not provide any comment to the City in response to Administration's correspondence. However, the DEC did provide comment on the matter to the WAPC in July 2012, with a copy provided to the City. The DEC's comments related to:
· Acknowledgement that previous issues pertaining to the Report prepared by Herring Storer Acoustics had been resolved.
· General Planning context in regard to the subject lot, and its situation within a Priority Resource Location as identified in State Planning Policy 2.4 – Basic Raw Materials.
· Comment on operations relating to crushing and screening.
· Comment on clearing permit requirements.
· Comment on the existing ecological community and fauna habitat.
· Recommendation for a Rehabilitation Management Plan being prepared.
· Comment on groundwater monitoring.
k) Yes.
l) No.
m) Not applicable.
n) The Western Australian Planning Commission approved the development application under the MRS on 23 January 2013 subject to five conditions. Administration does not know of any other approvals having been granted for this proposal.
o) Administration's position on this matter remains unchanged.
p) Administration has not sought any legal representation on this matter to date.
q) No.
r) Not applicable, as no legal representation has been sought to date.
Question 1 – Item PS01-05/13 Local Planning Policy 5.3: East Wanneroo
a) The proposed South Pinjar Industrial site from the EWSP has proposed general, light and special industry and after CREW highlighting the special industrial was polluting heavy industry, the EELS document which superseded it proposed only light and general industry. However please note that the amount of land proposed is not the same between the two documents. The EELS document has approximately 84 hectares removed/deleted. Those 84 hectares are where the government proposed putting special industry in the EWSP. Yet in the City’s agenda document the maps are the same as the EWSP.
The government is saying the amended area is to be used for light and general industry, it is not saying what the deleted area will be used for and begs the question – does the City of Wanneroo know what is proposed for that deleted land given that this area was singled out for “Special Industrial” in the EWSP? Why isn’t the updated map in the City of Wanneroo agenda document?
b) On the same map reference the special rural area in the North-East corner has the words “Subject to further planning” written above it and along the line of Neaves Road. Does the City of Wanneroo know to which area it refers?
Response by Director Planning and Sustainability
a) The City has not been advised by the Department of Planning (DoP) what the deleted land is now proposed for. The draft North West Sub-Regional Structure Plan is expected to be released by the West Australian Planning Commission (WAPC) in the near future and that Plan may clarify this matter.
While the EWSP report, which was released by the WAPC and Department of Planning (DoP) in January 2011, has not been amended to reflect this change to the proposed South Pinjar industrial area, it is noted that the EELS report states (page 60) that: "The strategy represents more recent thinking than the East Wanneroo Structure Plan (EWSP) which will be subject to further refinement over time".
Administration agrees that it would be appropriate to modify the map in Figure 1 of the draft LPP 5.3 to reflect the change arising from EELS study. This will be addressed in the Administration Report to Council following advertising of the modified draft LPP 5.3, assuming that Council approves advertising of the modified draft policy.
b) The DoP has advised this "subject to further planning" annotation is referring to the South Pinjar industrial area and Neaves Road that might provide access to the south Pinjar industrial area.
Public Questions Received at the Council Meeting
Question 1 – Item PS01-05/13 Local Planning Policy 5.3: East Wanneroo
The EWSP map has a section in it that isn't in the EELS map which superseded it, that was the area that was going to be in the proposal for special industrial which of course is heavy industrial, but the clarification I am seeking is that if there is any chance that will be made special industrial in the future, which has the maximum level of pollution etc and has to have more than 1.5km buffer from any residence, then surely this is going to impact on any other planning in the East Wanneroo area. How can we understand about the decisions with the areas that might be changed in zoning when that zoning could be impacted by a future proposed special industrial area?
Response by Director Planning and Sustainability
The response provided in PQ04-05/13 mentioned that in the coming months the Western Australian Planning Commission (WAPC) is expected to release its plan that covers both the Cities of Joondalup and Wanneroo. Through that planning exercise the WAPC will clarify the government's position on future industrial purpose around South Pinjar and any other future industrial sites that were shown in the earlier industrial land strategy.
Until that occurs, it is premature to make any provision for that in this policy because the draft policy is correctly showing the East Wanneroo Structure Plan as was adopted by the WAPC.
Since that time the WAPC has adopted the Employment and Economic Land Study and there is potentially some overlap or contradiction between those two documents. The Commission owns both of those documents and needs to be responsible for addressing that issue.
At this stage this is a draft policy. Administration's recommendation is to advertise the draft policy for public comment, after which time Administration will assess the submissions received and report the matter back to Council, just as in the report on the Agenda this evening. That will set the blueprint for implementation of planning and future planning and development in this area. All that planning and development would still need to occur and the detailed design and consideration of the issues such as which Ms Barnao has raised, will be addressed through subsequent stages of the planning process. There needs to be a Metropolitan Region Scheme Amendments carried out subject to EPA environmental assessment, as well as district and local level structure planning carried out and at all of these subsequent stages of the planning process, issues such as industrial buffers, appropriate setback distances, setbacks for future sensitive land uses from incompatible developments will all come into consideration, but none of which are known at this stage, but the proposed policy does not prejudice, or is not prejudiced by, all of those future findings, it simply sets the framework for how planning and development can advance in that area in the years to come.
Question 1 – Clayton's Beach Signage
a) When will the City of Wanneroo acknowledge that Clayton's Beach has two permanent dangerous rips? When is the community going to be notified of the danger with signage at the beach before any more drownings occur?
b) Does the City acknowledge that danger signs have been requested for Clayton's Beach since 2010 and it has taken two people's lives before the City has acknowledged there is a problem there? Swimmers should have the option to say they are not going to swim there due to the danger. Signage did not go up until after the death of the second person there. The only sign was to the left of the steps saying that it was an unpatrolled beach but following the first death it was moved to the front and more signs were not put up until a couple of days before the memorial for the second person who drowned.
Response by Director Community Development
a) The City has provided significant information to Ms Randall already and is midway through a risk audit of Clayton's beach which will then be extended to other City of Wanneroo beaches. It is part of a wider risk mitigation process that the City is undertaking. Significant hours have been spent across all City Directorates understanding risks and looking at ways in which to mitigate those risks. The process has been widely advertised to the community, with opportunities for input as well as receiving technical expertise from Surf Life Saving WA. Additional signage has been provided to that site, and the City is reviewing beach lifeguard services, looking at the maintenance and inspection of the beaches, and considering where facilities are to be developed in the future.
b) The City has installed signage at that location and is seriously taking on board the risk management of our coastline by working towards more sophisticated models and how to protect lives more effectively but that does not resolve the individual responsibility of those who use our beaches and there has been signage at Clayton's Beach for some time.
Response by Mayor Roberts
There is a sign of what to do if caught in a rip, which is a clearly diagrammed sign. The City is taking this matter extremely seriously and we have coordinated an audit. The City acknowledges the presence of Mr and Mrs Biwot and also Miss Roberts.
Statement 1 – Lime Industries Proposal – Mediation Hearing at SAT
Recently the Minister for Environment decided to reject appeal by WA Limestone for a clearing permit. Thanks go to the City of Wanneroo and in particular the Councillors and Administration for their involvement in this long battle.
Question 1 – Clarification of Answers to PQ03-05/13
In answer to whether the City of Wanneroo had legal representation in the current matter with Lime Industries at SAT, it is extraordinary the City did not use its in house lawyers on this matter. This matter has been before Council for over 3 years and was disappointed to find the City did not send a lawyer to represent them in this matter. Is the City confident in the technical and legal expertise of the officers who have represented the City in this matter?
Question 2 – Driver Training Operation
a) Why has the driver training operation aspect of the proposal, given that its not clear whether it is a dominant use or ancillary use, why has this not been brought to SAT as a preliminary issue to be decided?
b) Is it a dominant use or an incidental use?
c) Because it has gone to SAT and been deemed a refusal, is that a deemed refusal for ancillary use or a deemed refusal on a dominant use?
d) In relation to the WAPC aspect of this matter, a similar situation occurred with WA Limestone whereby the City of Wanneroo initially recommended to approve the matter to the WAPC and then in September 2011, the Director assured me that in relation to this particular matter, the WAPC would clearly be advised on the fact that the City hadn't made a decision and would be urged not to determine the application. The answers that have been provided tonight seem to suggest that this was not done, is that right or wrong?
Question 3 – Yanchep Boardwalk
There was an ad in the paper a couple of weeks ago in regard to a clearing permit extension application by the City of Wanneroo in regards to the Boardwalk. Would I be able to get an explanation of what that clearing permit involved and an update of where that process of the Boardwalk redevelopment is up to?
Response by Mayor Roberts
Questions 1 and 3 taken on notice.
Response by Director Planning and Sustainability
Question 2
a) Although it may not have arisen as a preliminary issue so far doesn't mean that it's not going to arise during the course of mediations. It is something that Council will need to make a determination on and as explained previously, Administration's position on the validity of the legitimacy of the driver training operations on that site remains unchanged from what it was twelve months ago.
b) It has been explained previously that the dominant use that is proposed on this particular site is for extractive industries. Administration's previous position on this has been that unless or until it can be clearly demonstrated that there is an inextricable connection between the driver training operations that are proposed on the site and ongoing approved uses for extractive industry on the property, then as far as Administration is concerned, its neither incidental nor can it be related to the use of the premises and as a consequence would not be capable of being approved because it would be classed independently as an educational establishment which is not a permitted use on this particular site.
c) The entire application was not dealt with within 90 days of being received and as a consequence under District Planning Scheme No. 2 it is deemed refused. That has triggered a right of appeal by the applicant which they've exercised and the matter is currently before SAT for mediation. That does not in any way mean that Council does not have the right to make its own determination on the matter and once mediation has been sufficiently concluded then it will be brought before Council for official determination. So it is for the whole application, not one particular component of that proposal. The application is for extractive industry, driver training and various other related activities to occur on the site.
d) That is wrong.
Further Response by Director Planning and Sustainability
Question 1
To be responded to in the Agenda of the next Ordinary Council Meeting on 25 June 2013.
Question 3
To be responded to in the Agenda of the next Ordinary Council Meeting on 25 June 2013.
Question 1 – CB01-05/13 - PT01-04/13 – Proposed Fenced Dog Exercise Area, Sheffield Park, Wanneroo
What is happening with the proposed dog exercise area in Sheffield Park, Wanneroo?
Response by Mayor Roberts
That is on the Agenda as CB01-05/13 and will be discussed and resolved this evening.
Question 1 – IN06-05/13 – Road Safety Audit – Intersection of Anchorage Drive, Fairport Vista and Rosslare Promenade Mindarie
Following an incident where a stolen car was driven into the garage of my home on Rosslare Promenade in January 2013, it was requested that a road safety audit be conducted. The road safety audit conducted appears to have been purely on photographic evidence. The road traffic conditions have changed severely since the traffic studies conducted in 2008, 2011 and February 2012. Since that time, the Increase in traffic volume and speed has been excessive. Will there be a traffic safety audit or is the report based on the photographic evidence only?
Response by Acting Director, Infrastructure
This is one of five different types of road safety audits undertaken. The City's practice is to undertake traffic surveys on local roads once every three years and at particular requests. Question taken on notice to confirm with staff exactly what was arranged at the time the road safety audit was commissioned.
Further Response by Acting Director, Infrastructure
In following up with the City's Transport and Traffic staff it is advised that the road safety audit undertaken in March 2013 reflected the road condition and layout as it existed at that time, and included review of the traffic data collected for Anchorage Drive (Feb-2012), Rosslare Promenade (Jun-2011) and Fairport Vista (Nov/Dec-2008). Given there had been no significant land use change noted in the immediate area of the intersection at the time the road safety audit was commissioned, a decision was made by Administration at that time to not seek further traffic data.
Given the decision by Council to refer the report back for further review, it is advised that traffic counters have now been scheduled for the three roads in question, with an updated report to be presented to Council following collection and analysis of the data obtained.
Question 1 – Clayton's Beach
a) My son was with J Biwot the day he drowned at Clayton's Beach and he was only waist deep in the water. He did not come down the side where the sign was. They had a choice about whether to go swimming or not but they did not have a choice about knowing about the dangers. Could you please tell me what is on the sign at Clayton's Beach?
b) Did the sign show there were rips at that beach?
c) How many other beaches in the City of Wanneroo have lost two lives this year?
d) There was a memorial service on the beach for Jenon and there was a concern about people swimming at Clayton's Beach and SLSWA brought four signs of someone swimming with a cross through it, is that what they believe?
Response by Director, Community Development
a) The signs at Clayton's Beach are those signs that have been recommended to us by Surf Life Saving WA (SLSWA) as an interim measure whilst the coastal risk audit is being undertaken. They will then recommend to us signage that identifies the appropriate risk at that location, with the use of universal pictograms, so they can be understood by a wide range of cultural and language based groups. The signage there currently says that there is an unpatrolled beach. It also identifies how to rescue yourself from a rip. Appropriate long term signage will be provided following the recommendations from SLSWA.
b) There are rips at nearly every beach in the City of Wanneroo. It is not feasible to signpost every beach identifying the rips because they do change with the weather conditions. Mrs Randall has asked questions about closing the beach to swimming but there is a very regulated legislative process that needs to be gone through to close a beach. This and other questions are being answered through the risk audit strategy currently being undertaken. The current sign did not say there were rips at the beach.
c) This is the only beach that has lost two lives this year but there was a loss of life at Yanchep Lagoon, there have been loss of lives at other beaches within Western Australia as well.
Response by Mayor Roberts
d) The City is taking this very seriously with regards to a risk audit from Surf Life Saving WA. The City received advice there would be a number of students swimming at the beach and there were significant concerns of that occurring so the Rangers had their vehicles on the beach and SLSWA at their request were on the beach also.
Statement 1 – Clayton's Beach
Clarification that I am not asking to close the beach, just asking for warning signs about the two permanent rips that are there.
Response by Mayor Roberts
Noted, thank you.
Item 4 Confirmation of Minutes
|
Moved Cr Treby, Seconded Cr Mackenzie
That the minutes of the Special Council Meeting held on 14 May 2013 be confirmed.
|
Item 5 Announcements by the Mayor without Discussion
Nil
Item 6 Questions from Elected Members
Nil
|
Cr Goodenough presented a petition of 1247 signatures requesting the implementation of a local beach policy that identifies swimming and non-swimming beaches with appropriate signage that can be understood by both English and non-English speaking members of the community.
The petition to be forwarded to the Community Development directorate for action. |
Moved Cr Guise, Seconded Cr Newton
That the petition be received and forwarded to the relevant Directorate for action.
Carried Unanimously
|
Cr Guise presented a petition of 29 signatures requesting removal of the London Plane street trees outside homes on Nankeen Circle Tapping due to the invasive root systems and replacing with smaller street trees.
UPDATE
Report scheduled for 25 June meeting.
|
|
Cr Steffens presented a petition of 28 signatures requesting a bus shelter to be erected on Land Beach Boulevard, Butler outside house number 98.
UPDATE
Report scheduled for 25 June meeting. |
|
Cr Mackenzie presented a petition of 6 signatures requesting the closure of the laneway between The Avenue and Feathertop Rise, Alexander Heights to prevent its use for anti-social and criminal behaviours.
UPDATE Administration has prepared and sent a letter to all six petitioners, advising of further actions that are required from them prior to Administration considering the closure of the public accessway between The Avenue and Feathertop Rise, Alexander Heights. Until such time that information is provided by the petitioners no further action is required by the City. . |
|
Cr Hewer presented a petition of 500 signatures requesting the extending of the northern boundary of the Yanchep Beach dog exercise by 250 metres.
UPDATE
Report scheduled for 25 June meeting. |
|
Cr Gray presented a petition of 479 signatures opposing the modification of Charnwood Park, Two Rocks, into a sports field and requesting the recommencement of negotiations with the joint developer to have two ovals in Yanchep.
UPDATE
Administration notes the receipt of the petition and advises it will be considered as part of a future report to Council regarding the results of the community consultation period relating to the proposed redevelopment of Charnwood Park.
|
Declarations of Interest by Elected Members, including the nature and extent of the interest. Declaration of Interest forms to be completed and handed to the Chief Executive Officer.
Cr Guise declared an indirect financial interest in CS04-05/13 due to receiving a campaign donation from Gin Wah Ang of the Yanchep Beach Joint Venture.
|
PS04-05/13 Proposed Amendment No.114 to District Planning Scheme No.2: Alkimos City Centre Zoning File Ref: 9396 – 13/53792 Responsible Officer: Director, Planning and Sustainability Disclosure of Interest: Nil Attachments: 2 Previous Items: PS03-08/10 Metropolitan Region Scheme Amendment 1192/57 - Northern Suburbs Railway and Romeo Road Realignment - Ordinary Council - 24 August 2010
|
|
Moved Cr Treby, Seconded Cr Gray That Council, further to its decision on 24 August 2010 in respect to item PS03-08/10:
1. Pursuant to section 75 of the Planning and Development Act 2005 PREPARES Amendment No. 114 to District Planning Scheme No. 2 to zone two portions of Lot 9003 Marmion Avenue, Alkimos, to Centre Zone, as depicted on the Scheme (Amendment) Map contained in Attachment 2;
2. FORWARDS Amendment No. 114 to District Planning Scheme No. 2 to:
a) The Environmental Protection Authority for comment pursuant to Section 81 of the Planning and Development Act 2005; and
b) The Western Australian Planning Commission for its consent to advertise for a period of 21 days under Regulations 25(2)(j)(v) and 25AA of the Town Planning Regulations 1967; and
3. SUBJECT to no objections being received from the Environmental Protection Authority and consent to advertise from the Western Australian Planning Commission, ADVERTISES Amendment No. 114 to District Planning Scheme No. 2 for public comment pursuant to the Town Planning Regulations 1967.
Carried Unanimously |
|
PS05-05/13 Adoption of Amendment 127 to District Planning Scheme No. 2 - Lot 133, Lot 134 & Lot 135 Village Row, Yanchep File Ref: 7471 – 13/55469 Responsible Officer: Director, Planning and Sustainability Disclosure of Interest: Nil Attachments: 5
|
||||||||||||
|
Moved Cr Treby, Seconded Cr Gray That Council:-
1. Pursuant to Town Planning Regulation 17(2) ADOPTS, without modification, Amendment No. 127 to District Planning Scheme No. 2 to as depicted in Attachment 2:
a) Rezone Lots 134 (5) and 135 (4) Village Row, Yanchep from ‘Centre’ to ‘Commercial’, as shown in Attachment 2;
b) Rezone Lot 133 (7) Village Row, Yanchep from ‘Residential’ to ‘Commercial’, as shown in Attachment 2;
c) Apply a residential density code of R40 to Lots 133 (7), 134 (5) and 135 (4) Village Row, Yanchep; and
d) Modify Schedule 3, by removing the following entry:
and replacing the above entry with the following:
2. Pursuant to Town Planning Regulations 22 and 25 (1) (g) AUTHORISES the affixing of the common seal to, and endorses the signing of, the amendment documentation;
3. FORWARDS the amendment documentation to the Western Australian Planning Commission for its consideration REQUESTING the Honourable Minister for Planning grant final approval to the Amendment;
4. NOTES the Schedule of Submissions received in respect of Amendment No. 127 to District Planning Scheme No. 2 included as Attachment 5, ENDORSES Administration’s comments and recommendations in response to those submissions, FORWARDS the Schedule of Submissions to the Western Australian Planning Commission and ADVISES the submitters of its decision;
5. NOTES that no submissions were received in respect of the public notification of the revocation of Agreed Structure Plan No. 49;
6. SUBJECT to the Honourable Minister for Planning granting final approval to the Amendment No. 127 to District Planning Scheme No. 2 and pursuant to subclause 9.7.1 of the City of Wanneroo District Planning Scheme No. 2, RESOLVES:
a) To REVOKE Agreed Structure Plan No. 49, and
b) REQUESTS the Western Australian Planning Commission approve the revocation of Agreed Structure Plan No. 49.
7. SUBJECT to the approval being granted by the Western Australian Planning Commission for the revocation of Agreed Structure Plan No. 49 in accordance with item 6 (b). above, PUBLISHES notice of the revocation of Agreed Structure Plan No. 49 in the Wanneroo Times, North Coast Times and Sun City News newspapers for two consecutive editions.
Carried Unanimously |
|
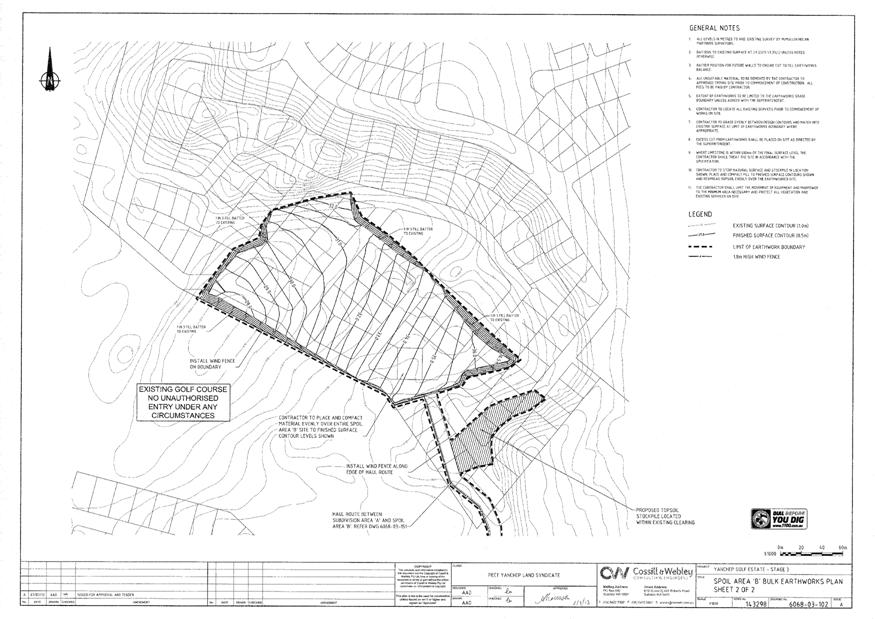
PS06-05/13 Development Application for Bulk Earthworks at Lot 9000 (300) Yanchep Beach Road, Yanchep (DA2013/364) File Ref: DA2013/364 – 13/58566 Responsible Officer: Director, Planning and Sustainability Disclosure of Interest: Nil Attachments: 3
|
|
Moved Cr Treby, Seconded Cr Gray That Council APPROVES the development application submitted by Taylor Burrell Barnett Town Planning and Urban Design on behalf of Peet Limited in accordance with the provisions of District Planning Scheme No. 2 for the proposed Bulk Earthworks at Lot 9000 (300) Yanchep Beach Road Yanchep as shown on the plans included as Attachment 2, subject to the following conditions being met to the satisfaction of the Manager Planning Implementation: 1. This approval only relates to the proposed clearing and bulk earthworks (movement of soil for cut and fill purposes) as shown on the attached plan. It does not relate to any other development on the subject lot; 2. A Dust Management Plan shall be prepared and submitted to the City for approval prior to any works commencing on site. The plan shall be implemented thereafter to the satisfaction of the Manager, Planning Implementation; 3. All batters shall be stabilised to the specification and satisfaction of the City of Wanneroo; 4. All works shall be carried out in accordance with the City’s Policy Standards and Specifications pertaining to earthworks; 5. Earthworks shall be limited to 0700 – 1700 hours Monday to Friday and 0730 – 1700 hours on Saturday. No works shall be carried out on Sundays or public holidays; 6. The proposed earthworks levels shall be designed so as to integrate with adjoining sites; 7. All stormwater shall be collected and retained on site; 8. All remnant vegetation that is to be retained must be protected by installing conservation protection fencing to the City’s satisfaction prior to any earthworks commencing; 9. The applicant shall be responsible and liable for any alterations to the clearing, bulk earthworks or engineering design of the project that may result from the City’s future approval of subdivision engineering drawings pertaining to the area subject of this application; 10. No construction, work, plant, material or earthworks shall intrude onto adjacent land, road reserves or any proposed POS without prior approval of the City;
11. Upon completion of the works, certification from a practicing Geotechnical Engineer shall be submitted to the City confirming that earthworks, filling and compaction were completed and controlled in such a manner that resulted in a suitable building platform for the intended land use; 12. Compaction and stabilisation must be carried out to the satisfaction of the City. Only clean fill shall be used on site; 13. All works shall be in accordance with the City’s Design Guidelines for the Development and Subdivision of Land; and
14. No burning of cleared vegetation shall be permitted without prior written approval from the City. The Applicant is to refer to Department of Environment and Conservation guidelines for alternative methods of treating cleared vegetation.
Carried Unanimously |
|
File Ref: 2496 – 13/50913 Responsible Officer: Director, City Businesses Disclosure of Interest: Nil Attachments: Nil
|
|
Moved Cr Newton, Seconded Cr Cvitan That Council:- 1. RESOLVES not to proceed with the provision of a fenced dog exercise area at Sheffield Park, Wanneroo following receipt of a petition with 117 signatories opposing the provision of such a facility at that location; 2. RESOLVES not to proceed with the provision of a fenced dog exercise area at any location within the City of Wanneroo on the basis that, under the City of Wanneroo Animals Local Law 1999 dogs may already be exercised off lead in all of the City's parks and reserves except for the Wanneroo Showgrounds, the netball courts at Kingsway Sporting Complex, Frederick J Stubbs Grove Reserve in Yanchep, and all foreshore reserves other than those portions set aside for this purpose at Two Rocks Beach, Yanchep Beach and Quinns Rocks Beach; and 3. NOTES that the implementation of Recommendation 2 will result in a budget saving of $21,222. |
|
File Ref: 2452 – 13/64939 Responsible Officer: Director, City Businesses Disclosure of Interest: Nil Attachments: 1
|
|
Moved Cr Cvitan, Seconded Cr Smithson That Council:-
1. APPROVES the Application to Establish an Offensive Trade – Egg Production at Lot 15 (275) Carabooda Road Carabooda; and
2. ISSUES a Certificate of Registration renewable each financial year subject to the payment of the prescribed registration fee as required by the City's Health Local Law 1999, and compliance with the following conditions:
a) Facility to comply with the Environmental Code of Practice for Poultry Farms and the Code of Practice For Poultry except in respect to the existing separation distances;
b) Water systems for cooling and drinking are to be maintained in good working order at all times and not wet poultry litter;
c) Rain and stormwater is to be prevented from entering the chicken sheds;
d) All amenity complaints are to be reported to the City as soon as they are received;
e) Rodent bait stations to be provided to the facility at a frequency appropriate to control rodents and re-baited on a regular basis;
f) Manure is to be removed from chicken sheds on a regular basis and removed from the property. In caged systems, manure should be removed from belt-cleaned sheds on a weekly basis and in conventional caged systems two or three times per year;
g) Where litter/manure is required to be stored temporarily, it is to be contained in a weather-proof compound on a hard-stand area until it can be removed from the farm. Should stored manure become a nuisance to neighbouring properties it is to be removed as directed by the City;
h) Manure is to be removed to a facility licensed to accept raw poultry manure or other sites allowed under the Health (Poultry Manure) Regulations 2001;
i) Wash-down water to be directed to a sump or depression and managed in a way that prevents the production of odours and breeding of flies;
j) Dead birds are to be removed from the property on a regular basis to an approved licensed facility. If birds are not picked up on a daily basis they are to be stored in a coolroom until removed from site;
k) Broken or unwanted eggs are to be stored in bins able to be sealed against flies and vermin and removed from site to an approved licensed facility before becoming offensive;
l) The owner/operator is to ensure that the presence of flies in and around the facility is minimised through the use of fly eradication methods. Appropriate equipment and chemicals shall be located at the facility at all times in order to take such action;
m) Facility is to be managed in such a way so as to minimise dust generation and contain odours within the lot boundaries and away from odour sensitive premises;
n) Property is to be kept clean and tidy and all rubbish is to be removed from the property to a licensed facility; o) Facility must comply with the Environmental Protection (Noise) Regulations 1997; and p) The number of chickens capable of being housed in the current chicken sheds on the property is limited to the stocking densities stipulated in the Code of Practice for Poultry. Footnote
This is an offensive trade approval only. Responsibility to comply with planning, building and engineering requirements remains with the Applicant. All other applications for approval or licences shall be submitted as required to the City.
Amendment
Moved Cr Gray, Seconded Cr Hewer To add Recommendation 3. That Council:-
1. APPROVES the Application to Establish an Offensive Trade – Egg Production at Lot 15 (275) Carabooda Road Carabooda; and
2. ISSUES a Certificate of Registration renewable each financial year subject to the payment of the prescribed registration fee as required by the City's Health Local Law 1999, and compliance with the following conditions:
a) Facility to comply with the Environmental Code of Practice for Poultry Farms and the Code of Practice For Poultry except in respect to the existing separation distances;
b) Water systems for cooling and drinking are to be maintained in good working order at all times and not wet poultry litter;
c) Rain and stormwater is to be prevented from entering the chicken sheds;
d) All amenity complaints are to be reported to the City as soon as they are received;
e) Rodent bait stations to be provided to the facility at a frequency appropriate to control rodents and re-baited on a regular basis;
f) Manure is to be removed from chicken sheds on a regular basis and removed from the property. In caged systems, manure should be removed from belt-cleaned sheds on a weekly basis and in conventional caged systems two or three times per year;
g) Where litter/manure is required to be stored temporarily, it is to be contained in a weather-proof compound on a hard-stand area until it can be removed from the farm. Should stored manure become a nuisance to neighbouring properties it is to be removed as directed by the City;
h) Manure is to be removed to a facility licensed to accept raw poultry manure or other sites allowed under the Health (Poultry Manure) Regulations 2001;
i) Wash-down water to be directed to a sump or depression and managed in a way that prevents the production of odours and breeding of flies;
j) Dead birds are to be removed from the property on a regular basis to an approved licensed facility. If birds are not picked up on a daily basis they are to be stored in a coolroom until removed from site;
k) Broken or unwanted eggs are to be stored in bins able to be sealed against flies and vermin and removed from site to an approved licensed facility before becoming offensive;
l) The owner/operator is to ensure that the presence of flies in and around the facility is minimised through the use of fly eradication methods. Appropriate equipment and chemicals shall be located at the facility at all times in order to take such action;
m) Facility is to be managed in such a way so as to minimise dust generation and contain odours within the lot boundaries and away from odour sensitive premises;
n) Property is to be kept clean and tidy and all rubbish is to be removed from the property to a licensed facility; o) Facility must comply with the Environmental Protection (Noise) Regulations 1997; and p) The number of chickens capable of being housed in the current chicken sheds on the property is limited to the stocking densities stipulated in the Code of Practice for Poultry.
3. ADVISES the landowner that Council's approval to conduct an Offensive Trade – Egg Production at Lot 15 (275) Carabooda Road, Carabooda is an approval issued under the Health Act 1911 and the City's Health Local Law 1999 and does not constitute an approval or permission to operate a poultry farm or conduct an offensive trade from the property under any other legislation, whether administered by the City of Wanneroo or not. It is the landowner's responsibility to comply with all other applicable laws and statutory requirements relating to use and development of the subject land, including but not limited to planning approval under the Metropolitan Region Scheme and District Planning Scheme No. 2. Failure to comply with all other such laws and requirements may render the landowner liable to prosecution for committing a breach of those statutory obligations. Footnote
This is an offensive trade approval only. Responsibility to comply with planning, building and engineering requirements remains with the Applicant. All other applications for approval or licences shall be submitted as required to the City.
carried 12/1 For the
motion: Cr Goodenough, Cr Gray, Cr Cvitan, Cr Driver, Cr Guise,
Cr Hewer,
Against the motion: Cr Newton
The amendment became the substantive motion. carried 9/4 For the motion: Cr Goodenough, Cr Gray, Cr Cvitan, Cr Driver, Cr Guise, Cr Hewer, Mayor Roberts, Cr Smithson and Cr Truong
Against the motion: Cr Mackenzie, Cr Newton, Cr Treby and Cr Hayden
|
|
File Ref: 112V03 – 13/62746 Responsible Officer: Director, City Businesses Disclosure of Interest: Nil Attachments: Nil
|
|
Moved Cr Newton, Seconded Cr Guise That Council by ABSOLUTE MAJORITY appoint Cr Cvitan as a delegate for the City of Wanneroo to the Mindarie Regional Council for the Mindarie Regional Special Council meeting to be held on Thursday 20 June 2013, after which Cr Gray will resume her role as a City of Wanneroo delegate.
13/0 |
|
File Ref: 8697 – 13/43519 Responsible Officer: Director Infrastructure Disclosure of Interest: Nil Attachments: Nil
|
|
That Council:-
1. DOES NOT SUPPORT PT02-03/13 for the removal of a River Red Gum (Eucalyptus camaldulensis) located on the Regent Drive verge adjacent to 9 Towerhill Road, Alexander Heights;
2. NOTES that Administration will undertake annual monitoring of the River Red Gum (Eucalyptus camaldulensis) located on the Regent Drive verge adjacent to 9 Towerhill Road, Alexander Heights, and will at the request of the resident carry out ongoing property line clearance pruning; and
3. ADVISES the petition organiser of Council's decision.
MOTION LAPSED FOR WANT OF A MOVER
Alternative Motion
Moved Cr Treby, Seconded Cr Hayden
That Council:-
1. SUPPORT PT02-03/13 for the removal of a River Red Gum (Eucalyptus camaldulensis) located on the Regent Drive verge adjacent to 9 Towerhill Road, Alexander Heights; and
2. ADVISES the petition organiser of Council's decision.
Reason for Alternative Motion
The City does a lot of work to retain a number of trees, including extensive pruning, root barriers and other significant maintenance. However, the arguments put up by the owners during deputation time for removal of this tree, although at a cost to Council, the cost to the broader community over time far outweighs the cost of removal. This alternative motion supports the residents in removing this tree and in consultation with the owners, replace it with a more suitable tree. |
|
IN02-05/13 Budget Variation - 2012/2013 Capital Works Program - Caporn Street/Franklin Road State Black Spot Program File Ref: 6445 – 13/64748 Responsible Officer: Director Infrastructure Disclosure of Interest: Nil Attachments: Nil
|
||||||||||||||||||||||||
|
Moved Cr Newton, Seconded Cr Cvitan That Council:- 1. ACCEPTS from Main Roads WA an additional $60,000 in State Black Spot funding to undertake the upgrade works at the intersection of Caporn Street and Franklin Road (PR-2233); and 2. NOTES the following budget variation to fund the upgrade works at the intersection of Caporn Street and Franklin Road (PR-2233). INCOME
EXPENDITURE
Carried Unanimously |
|
IN03-05/13 Tender No 01305 - The Supply and Installation of Lighting of Baseball Fields and Footpaths Adjacent to Hartman Drive at the Kingsway Regional Sporting Complex Redevelopment (Stage 6A) File Ref: 6589 – 13/65590 Responsible Officer: Director Infrastructure Disclosure of Interest: Nil Attachments: 2
|
|
Moved Cr Newton, Seconded Cr Cvitan That Council:-
1. DOES NOT ACCEPT any tender for Tender No. 01305 - Supply and Installation of Lighting of Baseball Fields and Footpaths at the Kingsway Regional Sporting Complex Stage 6A and advises the tenderers accordingly;
2. NOTES that Administration has received formal advice from Baseball WA and the Wanneroo Giants Baseball Club that they wish to advance the 750lux/500lux floodlighting configuration for the baseball pitch/field at the Kingsway Regional Sporting Complex, and accepts full responsibility for all costs over and above the standard 250lux/150lux floodlighting configuration by the City of Wanneroo inclusive of costs associated with:
a) The appointment of an electrical consultant commissioned to review the impact (if any) on the capacity of the existing power supply and associated infrastructure to accommodate the additional power demand; and
b) The cost for the upgrade of the existing power supply and associated infrastructure to accommodate the additional power demand as per recommendation(s) arising from the electrical consultant's review as per (a) above.
3. RECALLS tenders for the supply and installation of lighting of baseball fields and footpaths at the Kingsway Regional Sporting Complex 6A based on an agreed illumination standard with Baseball WA and Wanneroo Giants Baseball Club.
Carried Unanimously |
|
File Ref: 3120V02 – 12/147184 Responsible Officer: Director Infrastructure Disclosure of Interest: Nil Attachments: 6
|
|
Moved Cr Treby, Seconded Cr Truong Administration amendment was made to recommendation 1, third line under the heading "East Wanneroo area", changed from Ashby Road to Ashby Street. That Council:-
1. REQUESTS Administration to formalise a request in writing to Main Roads WA to undertake a speed zone review of the following roads with the intent of setting the corresponding Administration promoted posted speed limit;
East Wanneroo Area - Jambanis Road, Wanneroo 60km/h - Benmuni Road, Wanneroo 60km/h - Ashby - Nicholas Road, Hocking 60km/h - Bebich Road, Wanneroo 60km/h - Shillington Way, Wanneroo 60km/h - Stafford Way, Wanneroo 60km/h Carabooda Area - Carabooda Road, Carabooda 70km/h - Bailey Road, Carabooda 60km/h - Safari Place, Carabooda 60km/h - Emerald Drive, Carabooda 60km/h - Jade Loop, Carabooda 60km/h Nowergup Area - Nowergup Road, Nowergup 70km/h - Wesco Road,
Nowergup - Gibbs Road, Nowergup 70km/h
Two Rocks Area - Oregano Drive, Two Rocks 60km/h - Cinnamon Meander, Two Rocks 60km/h - Caraway Loop, Two Rocks 60km/h Other Roads - Pipidinny Road, Eglington 80km/h - Greenvale Place, Banksia Grove 60km/h
2. In consideration of the Administration promoted posted speed limits SEEKS Main Roads WA's support for Area Speed Limits for the roads incorporated in the following areas: - East Wanneroo Area - Carabooda Area, with the exclusion of Carabooda Road - Two Rocks Area |
|
File Ref: 5597 – 13/55666 Responsible Officer: Director Infrastructure Disclosure of Interest: Nil Attachments: 2
|
|
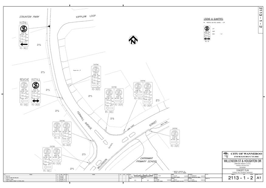
Moved Cr Hewer, Seconded Cr Gray That Council:-
1. APPROVES the removal of the “NO STOPPING ROAD OR NATURE STRIP 7:30‑9AM and 2:30-4PM SCHOOL DAYS” (R5-36(L)) sign from the common property boundary of 32 and 34 Fernhill Avenue, Carramar, as shown on Drawing 2113-1-2 (Attachment 2 refers); 2. APPROVES the installation of a “NO STOPPING ROAD OR NATURE STRIP 7:30‑9AM and 2:30-4PM SCHOOL DAYS” (R5-36(B)) sign at the common property boundary of 32 and 34 Fernhill Avenue, Carramar, as shown on Drawing 2113-1-2 (Attachment 2 refers); 3. APPROVES the installation of a “NO STOPPING ROAD OR NATURE STRIP 7:30‑9AM and 2:30-4PM SCHOOL DAYS” (R5-36(L)) sign at the common property boundary of 28 Fernhill Avenue and Staunton Park, Carramar, as shown on Drawing 2113-1-2 (Attachment 2 refers); and 4. ADVISES the occupier and owner of 28, 30 and 32 Fernhill Avenue of Council’s decision. |
|
IN06-05/13 Road Safety Audit - Intersection of Anchorage Drive, Fairport Vista and Rosslare Promenade, Mindarie File Ref: 3125 – 13/57846 Responsible Officer: Director Infrastructure Disclosure of Interest: Nil Attachments: 3
|
|
That Council:- 1. NOTES the findings and recommendations of the Road Safety Audit for the intersection of Anchorage Drive, Rosslare Promenade and Fairport Vista, Mindarie;
2. ENDORSES Administration's comments and proposed actions to the Road Safety Audit findings and recommendations as detailed in Attachment 3;
3. NOTES that Council has already endorsed the use of traffic treatments and landscaping to create a lower speed environment on Anchorage Drive, Mindarie, from Ocean Falls Boulevard to Rosslare Promenade with the intent of encouraging greater than 85% percentile compliance with the current posted speed limit of 60km/h (Item IN08-12/12 refers); and
4. ADVISES the resident of No.2 Rosslare Promenade of Council’s decision.
Procedural Motion
Moved Cr Roberts, Seconded Cr Treby
That the Motion be referred back to Administration for further investigation on the comments made during the deputation on this item.
Carried Unanimously
|
|
File Ref: 3000 – 13/58298 Responsible Officer: Director Infrastructure Disclosure of Interest: Nil Attachments: 2
|
|
That Council:- 1. NOTES the findings and conclusion of the Herring Storer Acoustic's Transport Noise Assessment Report, April 2013; 2. DOES NOT PROCEED with the construction of a sound barrier wall along the Lukin Drive property boundary of the RAAFA Estate in Merriwa; 3. APPROVES the channelization improvements to the Lukin Drive/ Bradman Drive intersection, Butler, similar to those already in existence at the intersection of Lukin Drive and Baltimore Parade, Merriwa (Attachment 2 refers); 4. LISTS for consideration in the City of Wanneroo draft 10-Year Capital Works Program (Traffic Treatments) a sum of $100,000 for channelization improvements to the Lukin Drive/ Bradman Drive intersection, Butler; 5. NOTES that a draft Noise Attenuation Policy will be prepared for consideration by Council by December 2013; and 6. ADVISES management of the RAAFA Estate in Merriwa of Council’s decision.
Procedural Motion
Moved Cr Guise, Seconded Cr Goodenough
That the Motion be referred back to Administration for investigation regarding the cost of a safety barrier.
Carried Unanimously
|
|
File Ref: 5597 – 13/59517 Responsible Officer: Director Infrastructure Disclosure of Interest: Nil Attachments: 3
|
|
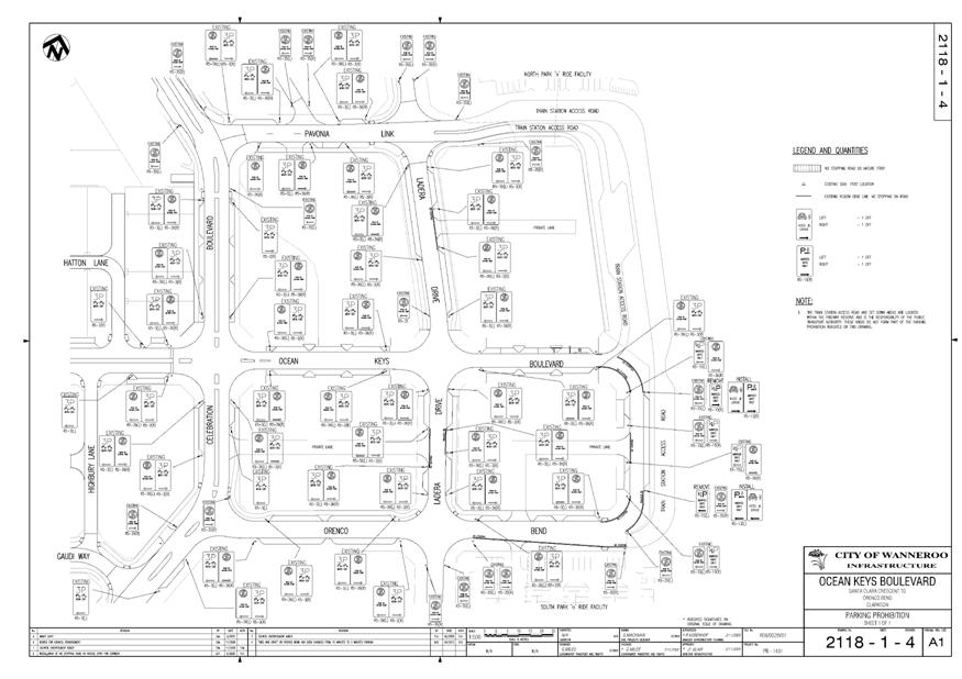
Moved Cr Driver, Seconded Cr Hewer That Council:- 1. APPROVES the removal of “ĽP” (R5-15) signs from the east side of Orenco Bend, near the Clarkson Train Station entrance, as shown on Drawing No 2118-1-4 (Attachment 3 refers); 2. APPROVES the installation of “P2 minutes" (R5-13) signs on the east side of Orenco Bend, near the Clarkson Train Station entrance, as shown on Drawing No 2118-1-4 (Attachment 3 refers); and 3. APPROVES the installation of “Kiss and Drive” signs on the east side of Orenco Bend, near the Clarkson Train Station entrance, as shown on Drawing No 2118-1-4 (Attachment 3 refers).
Carried Unanimously |
|
File Ref: 1446V03 – 13/52847 Responsible Officer: Director Infrastructure Disclosure of Interest: Nil Attachments: 2
|
|
Moved Cr Driver, Seconded Cr Hewer That Council ENDORSES the City of Wanneroo RoadWise Working Group Strategic Action Plan for 2013/2014 as outlined in Attachment 1.
Carried Unanimously |
|
File Ref: 4293 – 13/53394 Responsible Officer: Director, Community Development Disclosure of Interest: Nil Attachments: 1
|
|
Moved Cr Gray, Seconded Cr Truong That Council ENDORSES amendments to the Facility Hire and Use Policy as shown in Attachment 1.
|
|
File Ref: 3494 – 13/61829 Responsible Officer: Director, Community Development Disclosure of Interest: Nil. Attachments: 1
|
||||||||||||
|
Moved Cr Gray, Seconded Cr Truong That Council:- 1. Pursuant to Section 6.8(1)(b) of the Local Government Act 1995 APPROVES BY ABSOLUTE MAJORITY the expenditure of $75,000 for asbestos removal at Mary Lindsay Homestead; and 2. NOTES the following budget variation to accommodate the shortfall in funding for the removal of asbestos material from the Mary Lindsay Homestead:
13/0 |
|
File Ref: 6633 – 13/52817 Responsible Officer: Director, Community Development Disclosure of Interest: Nil Attachments: 2
|
|
Moved Cr Cvitan, Seconded Cr Guise Administration amendment was made to the title of the report, changing 2012 to 2013. That Council:-
1. ENDORSES amendments to the Community Funding Policy as shown in Attachment 2.
2. ENDORSES the Decision Making Matrix as shown in Attachment 1 to guide organisations applying for event funding where a profit might be generated.
Amendment
Moved Cr Mackenzie, Seconded Cr Newton
To add Recommendation 3.
That Council:-
1. ENDORSES amendments to the Community Funding Policy as shown in Attachment 2.
2. ENDORSES the Decision Making Matrix as shown in Attachment 1 to guide organisations applying for event funding where a profit might be generated.
3. AMEND the Policy to include funding and support for a Hallmark Christmas event one per ward on a per annum basis.
Carried Unanimously
The amendment became the substantive motion. CARRIED UNANIMOUSLY
|
|
File Ref: 1859 – 13/59122 Responsible Officer: Director, Corporate Strategy and Performance Disclosure of Interest: Nil Attachments: Nil
|
|||||||||||||||||||||||||||||||||||||||||||||||||||||||||||||||||||||||||||||||||||||||||||||||||||||||||||||||||||||||||||||||||||||||||||||||||||||||||||||||||||||||||||||||||||||||||||||||||||||||||||||||||||||||||||||||||||||||||||||||||||||||||||||||||||||||||||||||||||||||||||||||||||||||||||||||||||||||||||||||||||||||||||||||||||||||||||||||||||||||||||||||||||||||||||||||||||||||||||||||||||||||||||||||||||||||||||||||||||||||||||||||||||||||||||||||||||||||||||||||||||||||||||||||||||||||||||||||||||||||||||||||||||||||||||||||||||||||||||||||||||||||||||||||||||||||||||||||||||||||||||||||||||||||||||||||||||||||||||||||||||||||||||||||||||||||||||||||||||||||||||||||||||||||||||||||||||||||||||||||||||||||||||||||||||||||||||||||||||||||||||||||||||||||||||||||||||||||||||||||||||||||||||||||||||||||||||||||||||||||||||||||||||||||||||||||||||||||||||||||||||||||||||||||||||||||||||||||||||||||||||||||||||||||||||||||||||||||||||||||||||||||||||||||||||||||||||||||||||||||
|
Moved Cr Gray, Seconded Cr Hayden That Council RECEIVES the list of payments drawn for the month of April 2013, as summarised below:-
Carried Unanimously |
|||||||||||||||||||||||||||||||||||||||||||||||||||||||||||||||||||||||||||||||||||||||||||||||||||||||||||||||||||||||||||||||||||||||||||||||||||||||||||||||||||||||||||||||||||||||||||||||||||||||||||||||||||||||||||||||||||||||||||||||||||||||||||||||||||||||||||||||||||||||||||||||||||||||||||||||||||||||||||||||||||||||||||||||||||||||||||||||||||||||||||||||||||||||||||||||||||||||||||||||||||||||||||||||||||||||||||||||||||||||||||||||||||||||||||||||||||||||||||||||||||||||||||||||||||||||||||||||||||||||||||||||||||||||||||||||||||||||||||||||||||||||||||||||||||||||||||||||||||||||||||||||||||||||||||||||||||||||||||||||||||||||||||||||||||||||||||||||||||||||||||||||||||||||||||||||||||||||||||||||||||||||||||||||||||||||||||||||||||||||||||||||||||||||||||||||||||||||||||||||||||||||||||||||||||||||||||||||||||||||||||||||||||||||||||||||||||||||||||||||||||||||||||||||||||||||||||||||||||||||||||||||||||||||||||||||||||||||||||||||||||||||||||||||||||||||||||||||||||||||
|
File Ref: 2855V02 – 13/64024 Responsible Officer: Director, Corporate Strategy and Performance Disclosure of Interest: Nil Attachments: Nil
|
|
Moved Cr Gray, Seconded Cr Hayden That Council:-
1. APPROVES a request for sponsorship in the sum of $600.00 to Wanneroo Baseball Club (Northern Charter) for the participation of Dylan Dobson, Byron Armstrong, Ellie Deakin and Mason Andrews in the Australian Little League Championships to be held in Surfers Paradise, Qld from 1 – 5 June 2013; and
2. NOT APPROVE a donation request in the sum of $1,500.00 to Wanneroo District Hockey Association to assist with the costs of ground hire, publicity and signage for a Community Market Funday fundraiser to be held on 29 June 2013.
Carried Unanimously |
|
File Ref: 2883 – 13/67362 Responsible Officer: Director, Corporate Strategy and Performance Disclosure of Interest: Nil Attachments: 1
|
|
Moved Cr Gray, Seconded Cr Hayden That Council, BY ABSOLUTE MAJORITY, ADOPTS the amendments to the City's Delegated Authority Register as shown in Attachment 1.
Carried by absolute majority 13/0 |
Cr Guise declared an indirect financial interest in CS04-05/13 due to receiving a campaign donation from Gin Wah Ang of the Yanchep Beach Joint Venture and left Chambers at 8:11pm.
|
File Ref: 4504 – 13/60840 Responsible Officer: Director, Corporate Strategy and Performance Disclosure of Interest: Nil Attachments: 2
|
|
Moved Cr Gray, Seconded Cr Hewer That Council, having considered Yanchep Beach Joint Venture's (YBJV's) letter of 26 April 2013, included as Attachment 1, RESOLVES as follows:- 1. In respect of Condition 1, Council: a) REAFFIRMS that in accordance with Council's resolution 5 from 10 April 2013, the results of the public consultation on the Charnwood Park proposal will only be considered by Council following gazettal of Amendment No. 122 to District Planning Scheme No. 2. At that stage, it will be known whether the land component for the YAOS is included in the DCP and, if it is, then the YAOS project will proceed (subject to acceptance of the Deed) and there will be no need to continue advancing the Charnwood Park proposal. In the interim, no further action will be taken in respect to the Charnwood Park Proposal; and b) AGREES to defer investigating alternative active open space sites in Yanchep-Two Rocks, pending the conclusion of negotiations with YBJV on the draft Deed of Agreement. 2. In respect of Condition 2, ADVISES YBJV that the Department of Sport and Recreation has acknowledged that the grant funding for the Yanchep Active Open Space project is still current and available, and is awaiting further advice from the City when the position on the project is finalised; 3. In respect of Condition 3, ADVISES YBJV that: · It is considered premature, prejudicial and contrary to orderly and proper planning for Council to provide any form of "guarantee" to YBJV, along the lines it has requested; · Council will consider the scope, timing and inclusion of all facilities incorporated in the Draft Yanchep-Two Rocks Developer Contribution Plan under Amendment No. 122 to District Planning Scheme No. 2, including the proposed Yanchep Active Open Space facility, when it considers that Amendment for final adoption scheduled for 25 June 2013, in light of submissions received; and · Final determination of Amendment No. 122 to District Planning Scheme No. 2 will rest with the Minister for Planning, not the City of Wanneroo. 4. In respect of Condition 4, ADVISES YBJV that: · The draft Deed dated 8 May 2012 is the recognised version received prior to 16 October 2012 as suitable to be used as the basis for further negotiations, subject to review by the City's appointed legal advisers; and · Council AGREES to its previously adopted deed principles (from its meetings on 13 December 2011 – Item CR01-12/11, 26 June 2012 – Item CR03-06/12 and 16 October 2012 – Item CR02-10/12) forming the basis for further negotiations with YBJV to finalise a draft Deed of Agreement. 5. In respect of Condition 5, ADVISES YBJV that it is premature for Council to consider releasing the findings of an audit to YBJV, or any other party, given that Council has not yet set the terms of reference for the audit referred to in its decision of 10 April 2013, or appointed an auditor to conduct the audit, nor has Council determined how or when it will consider the findings of that audit; 6. REAFFIRMS its commitment to recommence negotiations with YBJV and ADVISES YBJV that Squire Sanders has been retained by the City to negotiate on its behalf the terms of the draft Deed of Agreement in conjunction with YBJV's nominated legal representative; and 7. AGREE that the three month period to negotiate and finalise the Deed of Agreement will commence from the date of agreement to recommence negotiations between the City and YBJV. Amendment
Moved Cr Treby, Seconded Cr Hayden
In recommendation 6. to replace the words "Squire Sanders has been retained by the City" with "the Chief Executive Officer (assisted by the City's legal advisors as required) is authorised by Council' and replace the words "nominated legal representative" with "Chief Executive Officer (and legal advisors as required)".
That Council, having considered Yanchep Beach Joint Venture's (YBJV's) letter of 26 April 2013, included as Attachment 1, RESOLVES as follows:- 1. In respect of Condition 1, Council: a) REAFFIRMS that in accordance with Council's resolution 5 from 10 April 2013, the results of the public consultation on the Charnwood Park proposal will only be considered by Council following gazettal of Amendment No. 122 to District Planning Scheme No. 2. At that stage, it will be known whether the land component for the YAOS is included in the DCP and, if it is, then the YAOS project will proceed (subject to acceptance of the Deed) and there will be no need to continue advancing the Charnwood Park proposal. In the interim, no further action will be taken in respect to the Charnwood Park Proposal; and b) AGREES to defer investigating alternative active open space sites in Yanchep-Two Rocks, pending the conclusion of negotiations with YBJV on the draft Deed of Agreement. 2. In respect of Condition 2, ADVISES YBJV that the Department of Sport and Recreation has acknowledged that the grant funding for the Yanchep Active Open Space project is still current and available, and is awaiting further advice from the City when the position on the project is finalised; 3. In respect of Condition 3, ADVISES YBJV that: a) It is considered premature, prejudicial and contrary to orderly and proper planning for Council to provide any form of "guarantee" to YBJV, along the lines it has requested; b) Council will consider the scope, timing and inclusion of all facilities incorporated in the Draft Yanchep-Two Rocks Developer Contribution Plan under Amendment No. 122 to District Planning Scheme No. 2, including the proposed Yanchep Active Open Space facility, when it considers that Amendment for final adoption scheduled for 25 June 2013, in light of submissions received; and c) Final determination of Amendment No. 122 to District Planning Scheme No. 2 will rest with the Minister for Planning, not the City of Wanneroo. 4. In respect of Condition 4, ADVISES YBJV that: a) The draft Deed dated 8 May 2012 is the recognised version received prior to 16 October 2012 as suitable to be used as the basis for further negotiations, subject to review by the City's appointed legal advisers; and b) Council AGREES to its previously adopted deed principles (from its meetings on 13 December 2011 – Item CR01-12/11, 26 June 2012 – Item CR03-06/12 and 16 October 2012 – Item CR02-10/12) forming the basis for further negotiations with YBJV to finalise a draft Deed of Agreement. 5. In respect of Condition 5, ADVISES YBJV that it is premature for Council to consider releasing the findings of an audit to YBJV, or any other party, given that Council has not yet set the terms of reference for the audit referred to in its decision of 10 April 2013, or appointed an auditor to conduct the audit, nor has Council determined how or when it will consider the findings of that audit; 6. REAFFIRMS its
commitment to recommence negotiations with YBJV and ADVISES YBJV that 7. AGREE that the three month period to negotiate and finalise the Deed of Agreement will commence from the date of agreement to recommence negotiations between the City and YBJV. Carried Unanimously
The amendment became the substantive motion.
CARRIED UNANIMOUSLY
Cr Guise returned to Chambers at 8:19pm.
|
Nil
Nil
Nil
Nil
The next Council Briefing Session has been scheduled for 6.00pm on Tuesday, 18 June 2013, to be held at Council Chambers, Dundebar Road, Wanneroo.
There being no further business, Mayor Roberts closed the meeting at 8:20pm.
In Attendance
TRACEY ROBERTS, JP Mayor
Councillors:
DOT NEWTON, JP Central Ward
DIANNE GUISE Central Ward
FRANK CVITAN, JP Central Ward
BOB SMITHSON Coastal Ward
IAN GOODENOUGH, JP Coastal Ward
RUSSELL DRIVER Coastal Ward
NORMAN HEWER North Ward
LAURA GRAY, JP North Ward
ANH TRUONG South Ward
BRETT TREBY South Ward
STUART MACKENZIE South Ward
DENIS HAYDEN South Ward